IRS Audit Letter CP91 - Sample 1

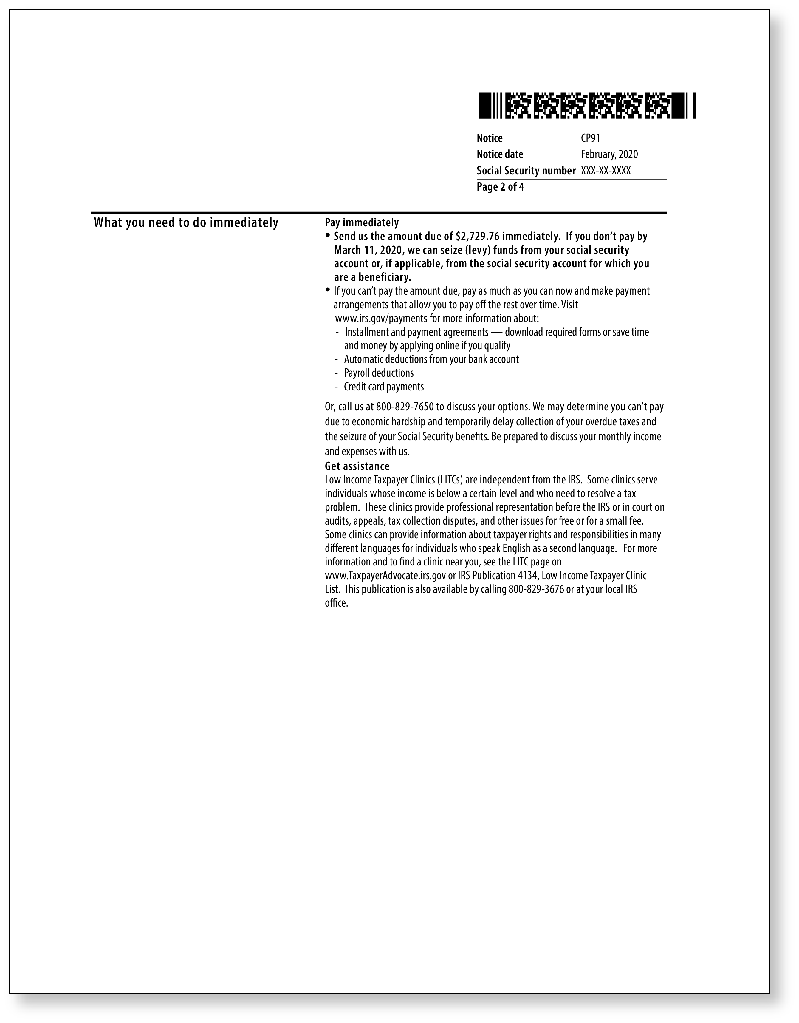
This sample IRS tax audit notice was sent to one of our members. IRS Letter CP91 informs the taxpayer the IRS has the intent to seize up to 15% of his or her Social Security benefits in order to pay unpaid federal taxes.

Personal information has been redacted to protect our member’s privacy.

IRS Audit Letter CP91 - Sample 1 IRS Audit Letter CP91 - Sample 1 IRS Audit Letter CP91 - Sample 1 IRS Audit Letter CP91 - Sample 1