IRS Audit Letter CP523 - Sample 1

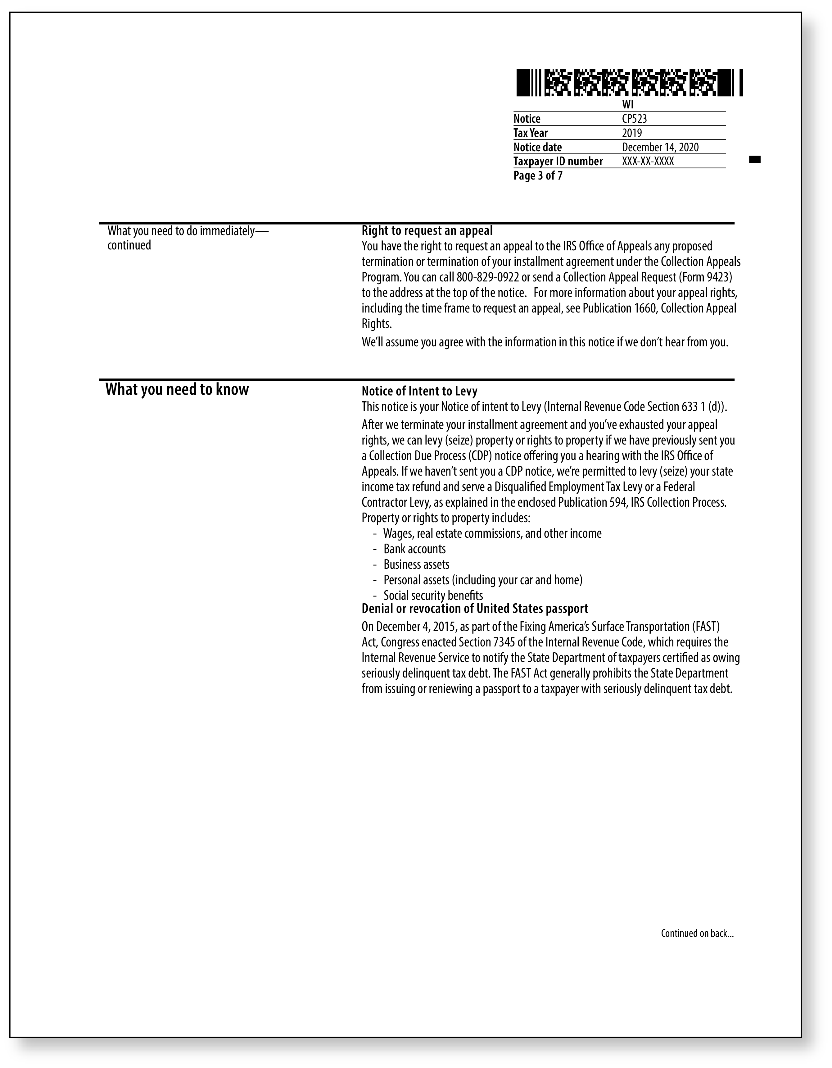
This sample IRS tax audit notice was sent to one of our members. IRS Letter CP523 informs the taxpayer that his or her installment will be terminated if a payment is not made within 30 days of the date of the notice.

Personal information has been redacted to protect our member’s privacy.

IRS Audit Letter CP523 - Sample 1 IRS Audit Letter CP523 - Sample 1 IRS Audit Letter CP523 - Sample 1 IRS Audit Letter CP523 - Sample 1 IRS Audit Letter CP523 - Sample 1 IRS Audit Letter CP523 - Sample 1 IRS Audit Letter CP523 - Sample 1